해당 논문을 선택하여 읽게 된 배경은 CVRP가 고객의 수요량, 배송 차량의 용량에 대한 부분들의 설정이 필요한데, 이때 공신력 있는 정보를 기반으로 한 가정이 필요하다고 여겨서 선택하게 되었다. 간략하게 살펴보니 챕터 3 부분에 배송 물품의 용량, 차량의 용량을 가정하는 부분에 레퍼런스가 달려있다. 그리고 해당 논문에 오픈 소스가 제시되어 있어 리뷰하고자 하였다.
하지만 성능 지표 부분이 내가 기대하던 바와는 차이가 있어 중간에 리뷰를 멈췄다. 아이디어 참고 정도는 좋을 것 같다. (컨퍼런스 논문인데 초반에 논문을 꼼꼼히 읽어서 시간을 좀 낭비했다. 다음에는 논문 선택에 좀 더 신경써야지..)
키워드: Crowd Logistics, Public Transport Piggibacking, Last Mile, Urban Consolidation Centres
인용: Johnson D, Chaniotakis E (2021). Innovative last mile delivery concepts: Evaluating last mile delivery using a traffic simulator. In 2021 7th International Conference on Models and Technologies for Intelligent Transportation Systems (MT-ITS) (pp. 1-6). IEEE. doi: 10.1109/MT-ITS49943.2021.9529279
ABSTRACT
- 시뮬레이션 접근 방식을 통해 워싱턴 D.C 도시 환경에서 라스트 마일 솔루션을 구축함
- 대중 교통을 활용하여 배송 서비스를 확장하는 방안에 대해 연구
* 대중 교통을 이용한 화물 운송의 경제적 이점과 환경적 효과에 대해 연구
* 도시 내의 Urban Consolidation Centres(UCCs)의 최적 위치를 K-means 알고리즘으로 결정
I. Introduction
* LMD 분야는 빠르게 탈탄소화되어야 함 (LMD 문제 정의)
- 운송부문은 이산화탄소와 연간 온실가스 배출량이 상당하여 빠르게 탈탄소화되어야 함
- 탈탄소화가 필요하지만 운송 부문에서의 온실가스 배출량은 증가하고 있음 (효율적 에너지 사용, 환경 친화적 기술 도입 등의 효율성으로 인한 긍정적인 효과가 전체적인 운송량의 급증에 비해 상대적으로 작아져서 상쇄되고 있음)
- 도로 운송 부문에서 배출량의 72%를 차지하며, 이는 여객 운송과 화물 운송 부문으로 나누어짐
- LMD(Last mile delivery): SCM에서 지속적으로 가장 많은 오염을 배출하는 부분임
* LMD 수요 증가에 따라 다양한 사회 문제 발생 (구체적 수치 언급)
- 온라인 수요를 충족시키기 위해 배송 차량 수는 2030년까지 36% 증가
- 도시 LMD 서비스 수요는 2030년까지 78% 증가, 도시 교통 혼잡 21% 증가, CO2 배출 30% 증가 예측
* 전반적인 온실가스 감소량은 순수한 화물 운송이 어떻게 대체되는지에 크게 의존하며 이 대안으로 대중 교통, 도보 주행, 자전거 등 친환경적 수단으로 이루어져야 함
(이 주장에 따른 다양한 시나리오에서 양적 측면에서 효과 측정 실험)
- LMD의 trade-off를 우회하려는 실천 방안으로 주로 차량의 전기화와 주간 외 시간 배송(off-peak delicery)을 우선시함
- 화물과 여객 운송을 통합하려는 시도는 무시되는 경우가 많음
- Crowdshipping,Freight-Sharing,Crowd logistics은다양한 여객 운송 수단에서 미활용된 용량(underutilised capacity)을 활용하여 상품을 추가로 배송하는 것을 목표로하는 개념
- 이러한 방식은 이론적으로 경제적, 환경적 이익이 존재하며 근본적으로 여객 운송 수단에서 사용되지 않는 용량을 공유하면 주행 횟수가 줄어들고 교통 혼잡 완화에 기여할 수 있음
II. LITERATURE REVIEW: THE SHARED ECONOMY & LAST MILE LOGISTICS
A. Crowd Logistics(CL)
- CL은 정보기술을 활용하여 기존 배송보다 효율적인 서비스 제공함
- 공급자, 실제로 배송을 완료하는 크라우드, 최종 배송품을 수령하는 고객, 디지털 플랫폼 (이해관계자)
- 장점: 디지털 플랫폼을 통한 인건비 절감, 가격 하락에 따른 고객 만족도 향상, 배송 시간과 수량에 대한 유연성, 운송업자에게 추가 소득 기회 제공
- 환경적 측면 장점: 주행량을 줄임으로써 도로 혼잡 및 대기 오염 배출을 감소, 배송 실패 감소
B. Public Transport Piggybacking
- 대중 교통 서비스(Public transport service)는 경제적이며 신뢰성이 높지만 수익성이 없는 오프 피크(off-peak)시간이 존재하는 특징이 있음
- 이러한 특성은 물류 및 화물 운송 서비스를 대중 교통 인프라에 통합할 수 있는 기회를 제공함
- 실제로 버스나 트램을 이용하여 LMD 수요를 통합하지만 연구는 지하철 시스템 활용에 중점을 두고 있음
- 이때 지하철 정거장에서 저장 및 재분배를 용이하게 하는 인프라의 중요성이 강조됨
- 지금까지의 연구들은 지하철 통합 물류 시스템의 타당성을 평가하기 위한 양적 방법을 제안하지 못함
C. Urban Consolidation Centres and Public Transport with Crowd Logistics
[도시 통합 센터(다중 모달 도시 유통 센터)]
- 대중 교통 서비스가 효과적으로 LMD 서비스로 작용하려면 대중 교통 정거장(PTS)에 수취인이나 저장 시설이 존재해야 함. 하지만 수거의 불편함 등의 문제로 집 배송이나 'very last-mile'에 대한 수요가 있을 것으로 예상됨
- 따라서, 대중 교통 정거장은 승객 및 화물을 모두 서비스할 수 있는 장소가 되어야 함
- 예를 들어, 기차역이나 버시 터미널이 여러 운송 수단의 중간 지점으로서, 승객과 화물을 효율적으로 연결할 수 있는 역할을 수행해야 한다는 의미임
- 이러한 통합은 환경적으로 효과적이며 서비스의 효율성을 높일 수 있음
very last-mile이라는 단어는 이 논문에서 처음 본다.
III. SIMULATION DESIGN & FORMULATION OF ROUTING PROBLEM
A. Washington D.C based Network
- Open Street Maps 활용하여 워싱턴 D.C 북서부의 작은 영역을 추출
- 네트워크 특징: 단일 또는 이중 차로 격자 형태
- 실험 가정: 15개의 무작위 배송 지점, 1개의 창고, 2개의 버스 노선(West line-9개 정거장, East line-7개 정거장), 버스는 배송을 완료하기 위해 20초 동안 정차
- 주요 가정: 버스 정거장의 대다수는 배송 지점과 가까워야 함
- 해당 지역에서 시뮬레이션을 수행하고 버스 노선을 설정하는데, 이때 최소 25번의 시뮬레이션이 필요함

Fig1의 노드가 색 구분이 없어 모두 동일하게 보이고 버스 노선이나 엣지에 대한 설명이 없다..
B. Simulations in Sumo
- SUMO 시뮬레이션을 실행하려면 엣지와 노드로 구성된 네트워크 파일, 주행 정보를 포함하는 루트 파일, 버스 및 배송 지점의 위치 및 크기를 설명하는 파일이 필요함
* 루트 파일: 각 차량이 어떤 경로를 따라 이동하는지를 정의하며, 시뮬레이션에서 이동 패턴을 설정함
* 추가 파일: 시뮬레이션에서 사용될 차량의 출발 및 도착지점을 설정. 각 지점의 위치는 지리적 좌표로 주어짐
- 해당 연구에서는 창고와 배송 지점 위치를 무작위로 할당하고 위치가 주어지면 맨해튼 거리 행렬이 계산되어 배송 경로를 최적화할 수 있음
- 최적의 배송 경로는 네트워크 혼잡과 결합되어 최종 루트 파일을 생성함
C. Scenarios
| 시나리오 | 목적 | 경로 | 차량 유형 | 약어 |
| Reference Scenario | 전통적인 LMD 대표 | 창고 → 배송 지점 → 창고 | 배송 밴 | BC(Base case) |
| Crowed Logistics Return | 피드백 효과를 갖춘 CL 제시 | 창고 → 배송 지점 → 창고 | 자동차, 오토바이 | CL(R) |
| Crowed Logistics | 최적의 CL 모델 강조 | 창고 → 배송 지점 | 자동차, 오토바이 | CL |
| Public Transport Piggybacking | 배송을 여객 서비스에 통합 | 창고 →버스 정류장 →배송지점 | 메트로 버스, 자동차 | PT |
| Public Transport Piggybacking with Crowd Logistics | PT 시나리오를 확장 (대중 교통과 크라우드 로지스틱스 통합) | 창고 →버스 정류장 →배송지점 | 버스, 전기 화물 자전거 | PT + CL |
피드백 효과는 창고 →버스 정류장 →창고 이렇게 다시 창고로 돌아가는 것을 의미하는 것 같다. 논문 흐름상 PT + CL 효과가 가장 좋게 나오지 않을까?
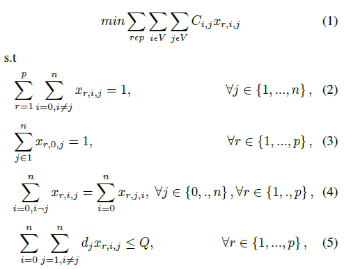
D. Capacitated Vehicle Routing Problem (CVRP)
- 차량 라우팅 문제는 차량 fleet이 일련의 고객에게 일련의 상품을 전달하기 위해 이동해야 하는 최적의 경로 집합을 찾는 것임
- 그래프 이론에서 G(E, V)로 나타낼 수 있음
네트워크가 워낙 다양한 분야에서 사용되다 보니 용어가 많아 헷갈릴 때가 많은데 V는 Vertex 즉, 노드를 나타내고 E는 Edge 간선을 나타낸다

- VRP 문제임으로 목적함수는 (1)의 형태로 도출됨
- 나머지는 제약조건
E. Delivery Demand Assumptions
[가정]
- 배송 패기지의 무게가 로그 정규 분포에 근접한다고 가정
- 로그 평균은 1.2, 로그 표준 편차 1.2
표준편차가 클 수록 분포는 더 넓게 퍼져 있고, 작을 수록 뾰족한 형태
로그를 씌우기 전의 원래 무게 값의 변동성이 크지 않고 상대적으로 일정하다는 것을 가정함
배송 패키지의 무게에 대한 레퍼런스가 마침 필요했다. 해당 레퍼런스는 LMD의 배송 패키지가 저중량이라는 것을 나타내는 것이니 논문 작성시 참고하자!
TDBG. (2020) Delivery vehicles and containers. http://www.tdbg.de/en/cu-service/delivery-vehicles-and-containers/.
[실험]
- 해당 분포에서 75개의 난수를 생성함 (75개의 배송 패키지 무게)
- 75개 난수를 사용하여 15개의 배송 지점에 대한 무게를 나타내는 벡터를 생성함
- 각 배송 지점에 한 번에 4건의 배송이 있다고 가정하므로 처음 생성한 15개의 숫자로 이루어진 벡터를 세 번 더하여, 각 배송 지점에서 전체 4건의 배송에 대한 무게를 나타내는 벡터를 구성함
즉, [1.5, 2.2, ...] 이러한 형태의 벡터가 나오면 1.5는 첫 번째 배송 지점에 대한 배송 패키지 무게를 나타내는 것임. 해당 무게는 4건의 배송에 대한 총 무게를 나타냄
F. Vehicle Capacity Assumptions
- LMD는 대중에 의존함
- 차량 각각의 평균 수용 용량 주변의 정규 분포를 가정함
차량들 간의 수용 용량이 평규적으로 어떤 크기를 가지고 있지만, 각 차량은 이 평균 수용 용량 주변에 특정한 분포를 따른다고 가정하고 있음. 차량 간의 다양성을 고려하기 위해 각 차량이 평균 수용 용량 주변에서 발생하는 확률적인 변동을 정규 분포로 모델링
G. Sensitivity of MetroBus Capacity
- Metro bus의 용량이 변화할 때 시뮬레이션 결과가 어떻게 변화하는지 실험
- 용량을 3%, 5%, 7%로 가정하고, 각 용량에 대해 최대 수요를 충족시키기 위해 필요한 버스 운행 횟수를 계산함
- 이를 통해 CO2 배출량 등 환경적 영향을 평가하고, 다양한 용량에 따른 버스 운행 횟수와 배출량의 관계를 분석함
H. Extension: ”Very last-mile delivery”
- Very last-mile delivery를 확장하는 방법
- 대중교통역(PTS)에서 UCCs(Urban consolidation centres) 서비스를 활용하여 배송 서비스를 확장하는 방법
- 대중교통역을 UCC 위치로 사용할 수 있는 적합한 위치로 식별하고, 이후 CL 서비스 또는 택배 서비스에 대한 최적의 경로를 찾음
- UCC 위치 정의 알고리즘: K-means 클러스터링
- 6개의 클러스터에서 엘보우 기법을 통해 3개가 최적의 클러스터임을 확인

최적 세 개의 클러스터를 나타내며 두 클러스터가 새롭게 발견됨. 해당 클러스터 중심에서 최소 거리에 있는 버스 정류장을 UCC로 선택
두 개의 클러스터로부터 UCC 2개가 선택되었다면 그게 그래프로 표현되면 더 좋지 않았을까..? 그래프에는 세 개의 클러스터가 나와있어 헷갈렸다. 또한 UCC 위치를 표시해주었다면 K-means 알고리즘 구동 절차도 보이지 않았으려나..
시각화 자체에도 문제가 있어보인다. 논문 흑백 출력시 범례의 내용이 구분이 안 간다. 그리고 범례도 그리드가 안 들어가도록 설정하면 더 좋지 않았을까?
IV. ANALYSIS & RESULTS
A. Capacitated Vehicle Routing Problem

[BC, CL 비교]
- 25, 35, 45 수요 조건에서 BC 시나리오는 주행 시간이 CL보다 0.2%, 1.71%, 3.52% 증가함
- 이러한 주행 시간의 증가는 배송 횟수 증가에 기인함
- 배송 횟수가 증가함에 따라 차량의 높은 속도에 의한 효율성 이점이 있음 (CL과 차이가 크지 않음)
[CL (R), CL 비교]
- 크라우드 출고자가 출발 지점 즉, 창고에 돌아간다면 효율성이 사라짐 (출고자가 배송 완료 후 추가 배송을 수행하지 않고 차고로 돌아가면 비효율성이 발생함)
- CL(R) 시나리오는 총 네트워크 주행 시간을 가장 크게 증가시키지만, 증가율은 일정하게 증가함 (배송 횟수에 의한 증가)
- CL(R)의 장점은 배송 횟수의 증가가 혼잡을 유발하지 않는다는 것임
[PT, PT+CL 비교]
- 모든 수요 규모에서 BC에 비해 상당한 성과를 보여줌
- 두 시나리오간의 주행 시간 차이는 미미함
- 즉, 대중 교통을 이용한 배송 서비스가 네트워크 효율성에 상당한 성과를 보임

그래프의 색상이 구분이 잘 안 간다.. 특히 Demand의 45, 45-6, 45-7 부분이..그리고 y축 범위도 문제가 있어 보인다..
아이디어는 좋은데 내가 확인하려고 했던 성능 지표 부분들이 미흡해서 해당 논문 리뷰는 여기서 마치도록 하겠다. 참고로 결론의 내용도 위의 내용과 일맥 상통하다.